Тариф: С НДС 8400 сум
Forum
Services
Company
About Us
Control
The structure of the company
Union
Vacancy
Reception days
Press center
News
Photo gallery
Questions and answers
Documents
Law of the Republic of Uzbekistan, от 07.03.2025 г. № LRU-1044
Resolution of the Cabinet of Ministers of the Republic of Uzbekistan No. 589 (16.09.2025)
Resolution of the Cabinet of Ministers No.149 (26.09.2024)
Decree of the Ppresident of the Republic of Uzbekistan PF-5 (04.01.2024)
Resolution of the Hokim of the city of Tashkent (No.3-14-0-Q/24 dated: 04/01/2024)
Resolution of the President of the Republic of Uzbekistan No. PP - 4925 (15.12.2020)
Resolution of the President of the Republic of Uzbekistan No. PP-4291 (17.04.2019)
Resolution of the Cabinet of Ministers No.95 (06.02.2019)
Decree of the Ppresident of the Republic of Uzbekistan PF-5580 (22.11.2018)
Decree of the President of the Republic of Uzbekistan No3730 (18.05.2018)
Resolution of the Cabinet of Ministers No765 (25.09.2018)
Resolution of the Cabinet of Ministers No. 787 (02.10.2018 )
Resolution of the president of the Republic of Uzbekistan PQ-2916 (21.04.2017)
Law of the Republic of Uzbekistan "On Waste"
International projects
ADB Project
Project Documents
Project Procurement
Regular reports
Audit reports
Information on the results of competitive selection
Tendering
Open data
work plan
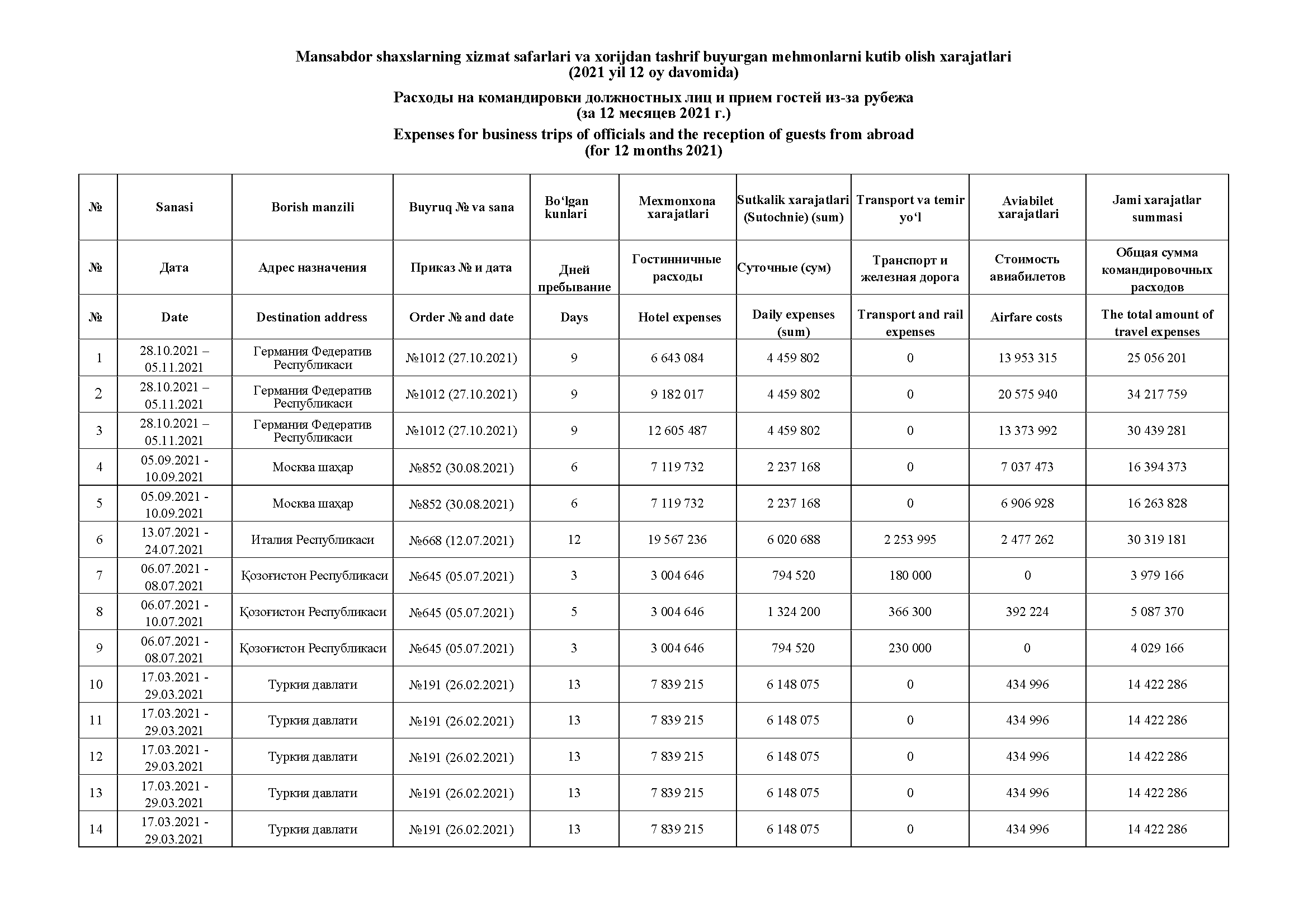
List of service trips
service vehicles
composition of the tender commission
Contract
Справка для юр. лиц
Questions and answers
Contacts
List of services trips
© 2014-2019 SUE "MAXSUSTRANS"